Câţi bani primesc localităţile din Prahova de la Consiliul Judeţean – Lista completă
Redactia -

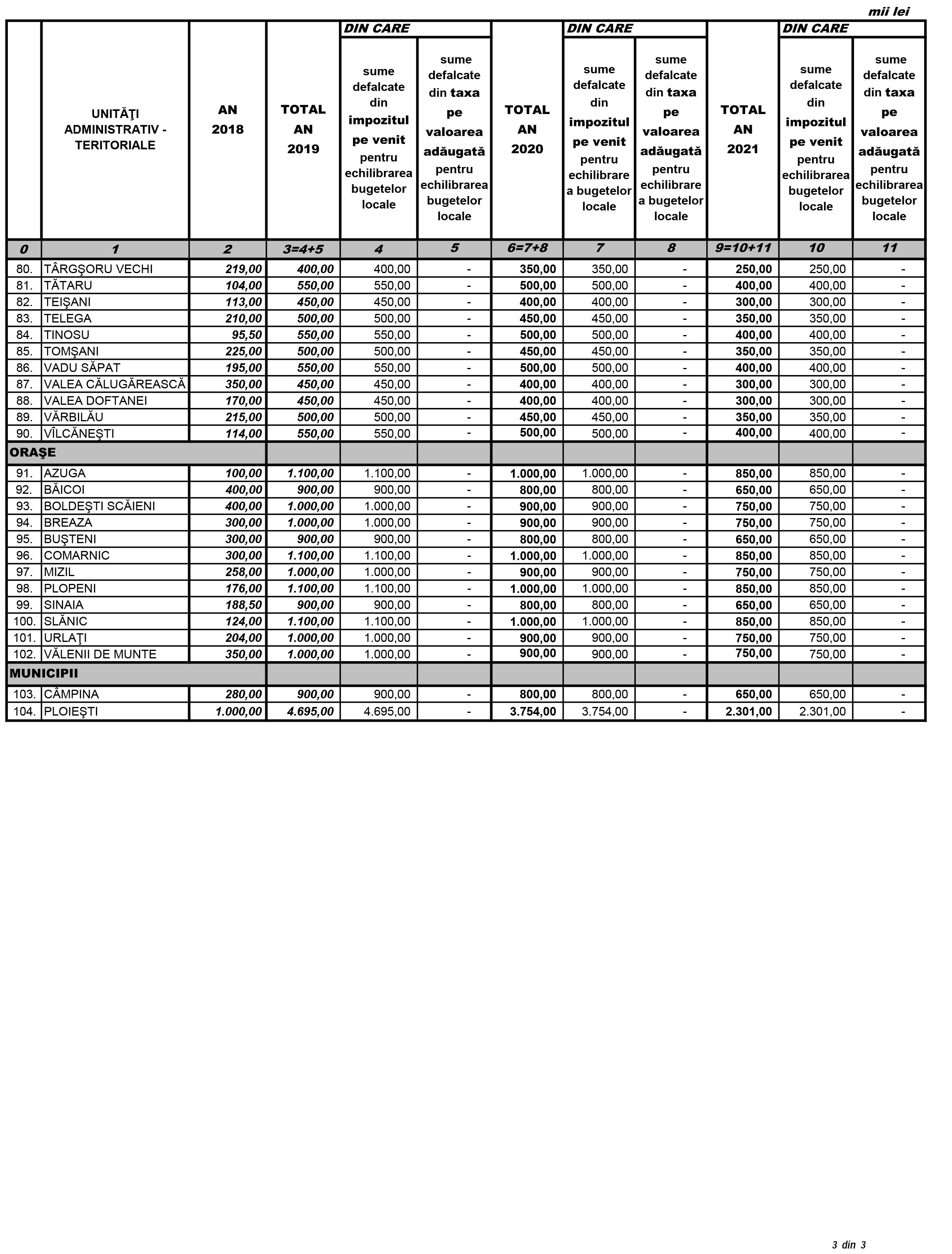
În şedinţa Consiliului Judeţean Prahova de vineri, 16 februarie, se va supune aprobării, printre altele, şi proiectul privind repartizarea pe unităţi administrativ- teritoriale a sumelor defalcate din unele venituri ale bugetului de stat pe anul 2018. Potrivit documentului, se va repartiza pe unităţi administrativ-teritoriale fondul la dispoziția Consiliului Județean în sumă de 20.104,00 mii lei pentru anul 2018, calculat prin înmulțirea numărului de locuitori ai județului cu suma de 25 lei, pentru susţinerea programelor de dezvoltare locală şi pentru susţinerea proiectelor de infrastructură care necesită cofinanţare locală, conform anexei care face parte integrantă din prezenta hotărâre.
Lista completă a sumelor pe care le primesc localităţile din Prahova:


![Câte zile mai poate fi furnizată apă din Paltinu fără restricţii Thumbnail [200x250]](https://gazetaph.ro/wp-content/uploads/2025/11/barajul-paltinu-2.jpg)
![Concert de Crăciun la Biserica Catolică din Sinaia, pe 20 decembrie Thumbnail [200x250]](https://gazetaph.ro/wp-content/uploads/2025/12/597433874-1182656557296856-6739889169046474185-n.jpg)

![Ploieşti: Străzile pe care se lucrează săptămâna aceasta la rețelele edilitare Thumbnail [200x250]](https://gazetaph.ro/wp-content/uploads/2025/11/canalizare.jpg)
![Spectacolele Teatrului „Toma Caragiu”, în perioada 8 – 14 decembrie Thumbnail [200x250]](https://gazetaph.ro/wp-content/uploads/2023/01/teatru.jpg)